Ciao, ospite
[ Login ]

Torna alla Home del sito | Membri | Regolamento | Ricerca | Registrazione | Login

  Ora del server: 14:08
Forum Home > Certificati e Derivati > I rollover delle commodities
rollover 07 settembre future euro/dollaro
Autore Discussione  
leon3037
Membro

Registrato dal:
05/04/2006

Messaggi:  2783

Offline
Inviato il: 06/09/2006 - 19:21:02 Modifica messaggio Elimina messaggio Rispondi citando il messaggio

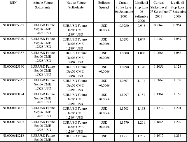
A partire dal 07 settembre, tutti i Minifutures con sottostante Euro/dollaro saranno soggetti alle seguenti modifiche per effetto del passaggio del future alla scadenza successiva

in allegato i dettagli con i nuovi strike e stop loss per minifutures







 
Powerd by certificati e derivati